你的生理年龄可以逆转吗?17 种 AI 算法测试洞察 22.5 万人血液样本带来新见解
GoodNav 12月26日报道,伦敦国王学院的研究团队开发出了一种基于人工智能的“衰老时钟”,该技术能够通过分析血液代谢物数据,预测个体的健康状况和寿命。
这种衰老时钟有助于早期识别健康状况下降的迹象,从而在疾病发作之前实施预防措施和干预,同时也能使人们主动监控自身健康,作出更明智的生活方式选择,以保持更长期的健康状态。
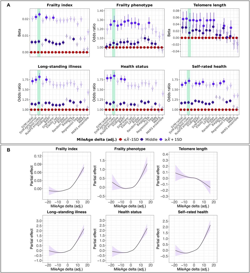
该研究分析了来自英国生物样本库的超过22.5万名参与者的血液标记数据,这些参与者在招募时年龄介于40至69岁之间,在训练和测试中使用了17种机器学习算法,结果显示非线性机器学习算法,特别是Cubist回归模型,表现最佳。



在本研究中,科学家们引入了“MileAge”代谢组年龄,通过观察血液新陈代谢过程中生成的小分子(如食物转化为能量时产生的小分子),来评估生物年龄。而MileAge delta则表示MileAge与实际年龄之间的差异,能够指示生物衰老的加速或减速状态。
研究表明,MileAge大于实际年龄(即生物年龄加速)的个体往往身体状况较差,易患慢性疾病,自评健康状况较低,并且面临更高的死亡风险。同时,他们的端粒(细胞衰老的标志)通常较短,并且与动脉粥样硬化等老年疾病相关。

IoPPN国王奖研究员及该研究的首席作者朱利安·穆茨(Julian Mutz)博士指出:
代谢组学衰老时钟有潜力帮助我们识别哪些人可能在晚年面临更大健康问题的风险。
与不可改变的实际年龄不同,我们的生物年龄是可以调整的。
这些时钟为生物医学和健康研究提供了一种替代衡量生物年龄的方法,这能够影响个人的生活方式选择,并为医疗机构实施的预防策略提供指导。我们的研究评估了多种机器学习方法在开发衰老时钟中的应用,结果显示非线性算法在捕捉衰老信号方面表现最佳。
参考地址
© 版权声明
文章版权归作者所有,未经允许请勿转载。
相关文章
暂无评论...